Konsep Listrik Statis
Muatan Listrik
Sobat Pintar, listrik sudah menjadi kebutuhan primer saat ini, yuk kita pelajari bagaimana sistem kerjanya.
Jika benda bermuatan listrik positif didekatkan dengan benda bermuatan listrik negatif maka akan saling tarik menarik. Sebaliknya, jika benda bermuatan listrik positif didekatkan dengan benda bermuatan listrik positif, atau benda bermuatan listrik negatif didekatkan dengan benda bermuatan listrik negatif akan saling tolak menolak. Interaksi kedua muatan tersebut merupakan gejala sederhana listrik statis.
Pada umumnya jumlah elektron dan proton pada atom-atom sebuah benda adalah sama, sehingga atom-atom pada benda tersebut tidak bermuatan listrik atau netral. Jika benda tersebut netral, dapatkah sebuah benda diubah menjadi bermuatan listrik? Bagaimana caranya? Yuk lanjut di bab selanjutnya !
Hukum Coulomb
Masih ingatkah Sobat Pintar, bahwa muatan listrik dapat saling menarik dan dapat saling menolak?
Bagaimana hubungan antara gaya tolak-menolak atau gaya tarik-menarik dua benda bermuatan listrik terhadap jarak keduanya?
Ilmuwan Perancis, Charles Augustin Coulomb (1736 – 1806), menyelidiki hubungan gaya tolak-menolak atau gaya tarik-menarik dua benda bermuatan listrik terhadap besar muatan listrik dan jaraknya menggunakan alat neraca puntir Coulomb.
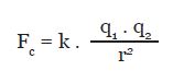
Berdasarkan percobaan dengan menggunakan neraca puntir, Coulomb menyimpulkan bahwa besar gaya listrik antara dua benda bermuatan adalah:
Berbanding terbalik dengan kuadrat jarak kedua muatan.
Berbanding lurus dengan perkalian besar kedua muatan partikel.
Secara matematis, rumusan Gaya Coulomb (Fc) dapat dituliskan sebagai berikut.
Keterangan:
Fc = gaya Coulomb (newton)
k = konstanta = 9 x 109 Nm2/C2
r = jarak antara dua muatan (meter)
q1 = besar muatan listrik pertama (coulomb)
q2 = besar muatan listrik kedua (coulomb)
Medan Listrik
Tahukah Sobat Pintar, mengapa benda-benda yang berada di permukaan bumi selalu ditarik menuju pusat bumi?
Seluruh benda yang ada di permukaan bumi atau sekitarnya akan ditarik menuju pusat bumi karena memiliki massa yang jauh lebih kecil dari pada massa bumi. Hal serupa ternyata juga terjadi pada muatan-muatan listrik.
Muatan-muatan listrik memiliki medan listrik sehingga dapat mempengaruhi muatan lain yang berada tidak jauh darinya. Medan listrik dapat didefinisikan sebagai daerah di sekitar muatan yang masih kuat menimbulkan gaya listrik terhadap muatan lain.
Medan listrik digambarkan oleh serangkaian garis gaya listrik yang arahnya keluar atau masuk ke dalam muatan. Arah garis gaya listrik ke dalam digunakan untuk menunjukkan muatan negatif dan arah garis medan listrik ke luar digunakan untuk menunjukkan muatan positif.
Selain melalui gambar, medan listrik suatu muatan dapat ditentukan besarnya dengan cara menghitung. Bagaimana cara menghitung besar kuat medan listrik? Agar dapat memahami cara menghitung besarnya medan listrik (E).
Sehingga dapat disimpulkan bahwa besar kuat medan listrik pada suatu titik yang berjarak r dari muatan Q adalah:
Keterangan:E = medan listrik (N/C)
F = gaya coulomb (newton)
q = besar muatan listrik (coulomb)
Beda Potensial dan Energi listrik
Tahukah Sobat Pintar, mengapa petir berbahaya? Apa sebenarnya petir itu?
Orang yang pertama kali menyatakan bahwa petir terjadi akibat adanya gejala listrik statis adalah Benjamin Franklin (1706 – 1790). Menurutnya, petir adalah kilatan cahaya yang muncul akibat perpindahan muatan negatif (elektron) antara awan dan awan, atau antara awan dan bumi.
Petir dapat terjadi karena adanya perbedaan potensial yang sangat besar antara dua awan yang berbeda, atau antara awan dengan bumi, sehingga akan terjadi lompatan muatan listrik, atau perpindahan elektron secara besar-besaran dari awan ke bumi, atau dari awan ke awan lainnya.
Perpindahan muatan listrik (elektron) tersebut disebabkan oleh adanya perbedaan potensial listrik (beda potensial listrik). Besarnya beda potensial listrik dapat dihitung dengan membandingkan besar energi listrik yang diperlukan untuk memindahkan sejumlah muatan listrik. Secara matematis dituliskan sebagai berikut.
Kelistrikan pada Sel Saraf
Selain pada kabel, ternyata tubuh Sobat Pintar juga dialiri oleh arus listrik, khususnya pada syaraf yaitu dengan adanya impuls listrik.
Bidang yang khusus mempelajari tentang aliran impuls listrik pada tubuh manusia disebut biolistrik. Tegangan pada tubuh berbeda dengan yang kita bayangkan seperti listrik rumah tangga. Kelistrikan pada tubuh hanya berkaitan dengan komposisi ion yang terdapat dalam tubuh, bukan listrik yang mengalir seperti pada kabel listrik di rumah-rumah.
Setiap manusia memiliki sistem saraf yang dapat mengontrol gerak otot. Sistem saraf terdiri atas sel-sel saraf berfungsi untuk menerima, mengolah, dan mengirim rangsangan yang diterima panca indera. Rangsangan ini disebut impuls. Setiap sel saraf terdiri atas 3 bagian, yaitu badan sel saraf, dendrit, dan akson atau neurit.
Selain ketiga bagian tersebut, pada sel saraf juga terdapat bagian tambahan berupa selubung myelin. Myelin sebetulnya bukan bagian sel saraf, tetapi terdiri dari sel pembentuk myelin yang berfungsi menyelubungi akson. Berdasarkan keberadaan myelin, terdapat dua macam neuron, yaitu neuron yang berselubung myelin dan neuron yang tidak berselubung myelin.
Jadi sudah tahukah kamu, bagaimana cara sel saraf menghantarkan impuls listrik? Bagaimana keadaan sel saraf saat tidak menghantarkan listrik?
Muatan yang ada di luar dan di dalam sel saraf tidak dapat saling tarik menarik dengan sendirinya karena ada pemisah berupa membran sel saraf. Tarik menarik antar muatan akan terjadi jika ada rangsangan dari neurotransmitter.
Masih ingatkah Sobat Pintar apa itu neurotransmitter? Yuk diskusikan dengan di kolom komentar!
Arus Listrik
Coba Sobat Pintar perhatikan lampu listrik di rumahmu atau di ruang kelasmu. Ketika kamu menyalakan lampu tentunya kamu akan menekan sakelar yang terpasang di dinding.
Jika satu sakelar ditekan maka lampu akan menyala tetapi mungkin lampu di ruangan lain tidak ikut menyala, atau ketika kamu menekan sakelar ternyata semua lampu di beberapa ruangan akan menyala bersamaan. Mengapa dapat terjadi demikian? Pernahkah kamu memikirkannya?
Arus listrik mengalir karena pada ujung-ujung rangkaian ada perbedaan potensial listrik yang diberikan oleh baterai sebagai sumber tegangan seperti yang telah dijelaskan pada percobaan baterai buah.
Ujung kawat penghantar yang memiliki banyak elektron (terhubung dengan kutub negatif baterai) dapat dikatakan memiliki potensial listrik yang rendah, sedangkan ujung kawat penghantar lainnya yang memiliki sedikit elektron (terhubung dengan kutub positif baterai) dapat dikatakan memiliki potensial listrik yang tinggi.
Arus listrik mengalir dari potensial tinggi ke potensial rendah, sedangkan arah aliran elektron adalah sebaliknya yaitu dari potensial rendah ke potensial tinggi atau dengan kata lain dari kutub negatif ke kutub positif.
Pada rangkaian listrik tertutup, besar arus listrik yang mengalir pada rangkaian dapat ditentukan dengan menghitung besar muatan listrik yang mengalir pada rangkaian setiap detiknya. Hal ini dikarenakan besar arus listrik yang mengalir dalam suatu rangkaian tertutup sebanding dengan besarnya muatan listrik yang mengalir pada setiap detik, atau secara matematis besar arus listrik ditulis sebagai berikut.
I = arus listrik (ampere)
q = muatan listrik (coulomb)
t = waktu (detik)
Rangkaian Listrik
Tahukah Sobat Pintar mengapa ada sebuah sakelar yang dapat digunakan untuk menyalakan beberapa lampu sekaligus, tetapi ada juga sebuah sakelar yang hanya dapat digunakan untuk menyalakan sebuah lampu saja?
Apa yang menyebabkan hal ini terjadi? Menyala atau tidak menyala lampu listrik terkait dengan rangkaian listrik.
Pada rangkaian listrik yang tidak memiliki percabangan kabel, rangkaian tersebut disebut rangkaian seri. Ketiadaan percabangan kabel pada rangkaian listrik seri mengakibatkan aliran listrik akan terputus jika salah satu ujung kabel terputus, sehingga arus tidak ada yang mengalir di dalam rangkaian dan seluruh lampu akan mati.
Pada rangkaian listrik yang memiliki percabangan kabel, rangkaian tersebut disebut rangkaian paralel. Jika salah satu ujung kabel terputus, maka arus listrik akan tetap mengalir pada kabel lainnya yang masih terhubung dan beberapa lampu lainnya akan tetap menyala.
Rangkaian Hambatan Listrik Seri
Pada rangkaian seri kuat arusnya bernilai sama tetapi tegangannya berbeda-beda, sehingga
Rangkaian Hambatan Listrik Paralel
Pada rangkaian parallel, tegangan listrik bernilai sama tetapi besar kuat arusnya berbeda, sehingga
Hukum Kirchoff
Sobat Pintar, Mobil yang masuk dari jalur utama akan berpisah di persimpangan jalan dan menuju tujuan masing-masing.
Nah, Jumlah mobil yang masuk dan yang keluar jalur akan tetap sama, hal ini juga berlaku listrik.
Menurut Hukum Kirchoff, besar arus listrik yang masuk ke dalam titik cabang kawat penghantar nilainya sama dengan besar arus listrik yang keluar dari titik cabang kawat penghantar tersebut.
Secara sistematis, hukum Kirchoff dapat ditulis dengan:
Sumber-Sumber Energi Listrik
Tahukah Sobat Pintar, dari mana asal energi listrik yang biasa kita gunakan dalam kehidupan sehari-hari?
Apa hanya dari minyak bumi dan batubara saja?
Mengingat keterbatasan energi tambang, kini listrik tidak hanya dihasilkan dari minyak bumi atau batu bara, tetapi juga dari energi matahari, angin, air, dan bioenergi. Sumber-sumber energi tersebut merupakan energi alternatif karena ketersediaannya di dalam yang dianggap sangat melimpah atau tidak akan pernah habis jika digunakan.
Agar mengetahui berbagai sumber energi alternatif tersebut, bacalah uraian berikut dengan seksama.
Energi Matahari
Energi matahari adalah sumber energi terbesar dan paling besar ketersediaannya. Melalui penggunaan panel surya, energi matahari dapat diubah menjadi energi listrik. Tetapi saat cuaca mendung, energi listrik yang diperoleh tidak dapat dihasilkan secara maksimal.
Sehingga, energi yang diperoleh saat matahari bersinar terang akan disimpan dalam baterai agar dapat digunakan saat cuaca mendung atau bahkan malam hari.
Energi Angin (Kincir Angin)
Kincir angin adalah salah satu contoh sumber energi listrik alternatif. Energi gerak, yang dihasilkan oleh gerakan angin terhadap kincir, diubah oleh generator menjadi energi listrik. Berbeda dengan batu bara, gas, dan minyak bumi, kincir angin tidak menyebabkan polusi bagi lingkungan, sehingga kincir angin dipercaya ramah terhadap lingkungan.
Oleh sebab itu, pada tahun 1930, pemerintah Amerika mulai menggunakan kincir angin sebagai sumber energi listrik utamanya. Di daerah California, saat ini sudah ada 13.000 kincir angin yang digunakan untuk memenuhi kebutuhan listrik hingga 1,5 – 4 juta kWh setiap tahunnya, ini berarti setiap kincir angin digunakan untuk menyuplai kebutuhan listrik 150 hingga 400 rumah.
Namun, ketika tidak ada angin yang berhembus maka tidak akan ada energi listrik yang dihasilkan, sehingga masih diperlukan sejumlah batubara, gas, atau minyak bumi untuk memenuhi energi listrik pada saat tersebut.
Energi Air (Hydropower)
Air yang mengalir dari hulu ke hilir, khususnya pada sungai-sungai yang deras, dapat dimanfaatkan sebagai sumber energi listrik. Arus air sungai tersebut dimanfaatkan untuk menggerakkan turbin yang terhubung pada generator sehingga energi listrik dapat dihasilkan.
Banyaknya jumlah sungai dan danau air tawar membuat Indonesia membangun banyak Pembangkit Listrik Tenaga Air. (PLTA) di seluruh wilayahnya. Potensi tenaga air di seluruh Indonesia diperkirakan sebesar 75.684 MW, tetapi yang dimanfaatkan masih 100 MW dengan jumlah pabrik sekitar 800. Salah satu contoh PLTA yaitu PLTA Karangkates yang ada di Kabupaten Malang.
Bioenergi
Bioenergi adalah energi yang diperoleh dari biomassa. Biomassa merupakan bahan organik yang berasal dari makhluk hidup, baik dari tumbuhan maupun hewan. Limbah dari budidaya pertanian, perkebunan, kehutanan, peternakan, maupun perikanan juga dapat digunakan sebagai sumber bioenergi.
Energi yang diperoleh dari biomassa ini dapat diubah menjadi energi listrik dengan cara mengolah biomassa menjadi bahan bakar nabati, misalnya etanol atau biodiesel. Bahan bakar nabati ini selanjutnya dapat digunakan sebagai bahan bakar generator atau diesel untuk menghasilkan listrik.
Jika Sobat Pintar tahu sumber energi listrik lain yang belum disebukan, bisa kita diskusikan di kolom komentar ya....
Upaya Penghematan Energi Listrik
Mengapa Sobat Pintar perlu menghemat energi listrik? Bukankah energI listrik tidak pernah habis meskipun telah digunakan dari kita kecil hingga sekarang?
Ternyata tidak hanya menghemat biaya listrik yang terus-menerus naik, upaya penghematan energi listrik juga dilakukan karena besarnya emisi karbon yang dihasilkan. Besarnya emisi karbon yang dihasilkan oleh pembangkit listrik yang menggunakan batu bara adalah penyumbang terbesar terjadinya global warming.
Salah satu upaya untuk menghemat energi listrik adalah dengan menggunakan energi listrik seperlunya atau mengganti peralatan listrik dengan daya yang lebih kecil.
Coba perhatikan penggunaan lampu sorot yang dipasang pada kendaraan terbaru, bandingkan dengan kendaraan lama, adakah perbedaannya?
Lampu sorot pada mobil-mobil baru dan lampu penerangan di rumah cenderung memanfaatkan lampu LED (Light Emitting Diode) daripada lampu bohlam seperti pada kendaraan lama. Penggunaan LED dengan daya yang lebih kecil tersebut diharapkan dapat menghemat kebutuhan energi listrik.
Penggunaan Teknologi Listrik di Lingkungan Sekitar
Sobat Pintar, berikut beberapa contoh dari pemanfaatan energi listrik.
Elektrokardiograf (ECG)
Elektrokardiograf adalah alat dalam bidang kedokteran yang biasa digunakan untuk merekam aktivitas otot jantung. Alat ini mampu merekam sinyal-sinyal listrik dari aktivitas jantung. Elektrokardiograf memiliki 10 logam yang masing-masing sebanyak 6 logam dipasang di dada dan 4 lainnya dipasang di pergelangan kaki dan tangan.
Seluruh logam tersebut dihubungkan pada kabel. Kabel inilah yang akan menghantarkan sinyal listrik dari jantung ke alat perekam medis yang berupa osiloskop untuk kemudian dicetak pada kertas kardiogram. Osiloskop adalah alat yang biasa digunakan untuk menggambarkan bentuk gelombang listrik pada layar.
Elektrosepalogram (EEG)
Elektrosepalogram adalah alat uji kedokteran yang digunakan untuk menilai kerja otak. Sama seperti sel saraf lainnya, sel-sel otak saling terhubung satu sama lain melalui sinyal-sinyal listrik.
Sistem kerja elektrosepalogram mirip dengan elektrokardiograf. Sinyal-sinyal listrik dari otak akan diterima elektrosepalogram untuk mencitrakan aktivitas otak dan mendeteksi penyakit-penyakit akibat kelainan fungsi kerja otak, misalnya epilepsi.
Pengendap Elektrostatis pada Cerobong Asap
Pengendap elektrostatis berfungsi untuk membersihkan gas buang yang keluar melalui cerobong asap agar tidak mengandung partikel-partikel kotor yang dapat mencemari udara. Komponen utama yang ada pada alat ini adalah kawat yang bermuatan negatif dan pelat logam yang bermuatan positif.
Saat asap kotor melewati kawat, maka beberapa partikel abu juga akan bermuatan negatif. Setelah itu, pelat logam yang bermuatan positif akan menarik partikel abu tersebut hingga membentuk jelaga yang mudah dibersihkan.
Coba Sobat Pintar cermati teknologi disekitar kita yang memanfaatkan energi listrik.

0 comments:
Posting Komentar