CAHAYA DAN ALAT OPTIK
Sifat Cahaya Dan Proses Pembentukan Bayangan
Sifat-Sifat Cahaya
Sobat pintar, kamu perlu mengetahui dan memahami sifat-sifat cahaya agar dapat mengenali cahaya. Cahaya memiliki beberapa sifat, yaitu merambat lurus, dapat dipantulkan, dapat dibiaskan, dan merupakan gelombang elektromagnetik.
Cahaya Merambat Lurus
Pernahkah kamu menyalakan lilin atau lampu di tempat gelap? Jika lilin atau lampu dinyalakan akan dihasilkan cahaya yang dapat menerangi tempat yang gelap.
Cahaya dapat Dipantulkan
Apakah kamu dapat membedakan benda-benda berdasarkan warnanya? Apa yang menyebabkan demikian? Cahaya memiliki sifat dapat dipantulkan jika menumbuk suatu permukaan bidang. Pemantulan yang terjadi dapat berupa pemantulan baur dan pemantulan teratur. Pemantulan baur terjadi jika cahaya dipantulkan oleh bidang yang tidak rata, seperti aspal, tembok, dan batang kayu. Pemantulan teratur terjadi jika cahaya dipantulkan oleh bidang yang rata, seperti cermin datar. Pada pemantulan baur dan pemantulan teratur, sudut pantulan cahaya besarnya selalu sama dengan sudut datang cahaya
Cahaya dapat Dibiaskan
Cahaya akan dibiaskan ketika melalui dua medium yang memiliki kerapatan optik yang berbeda. Kecepatan cahaya akan menurun saat dari udara memasuki air atau medium yang lebih rapat. Semakin besar perubahan kecepatan cahaya saat melalui dua medium yang berbeda, akan semakin besar pula efek pembiasan yang terjadi. Namun, pembiasan tidak akan terjadi saat cahaya masuk dengan posisi tegak lurus bidang batas kedua medium.
Cahaya merupakan Gelombang Elektromagnetik
Bayangkan saat ini kamu sedang berdiri di tepi pantai. Pada saat itu kamu melihat ombak yang sangat besar sedang melaju menuju ke arah kamu. Deburan ombak tersebut hanya memindahkan sejumlah energi dengan memindahkan mediumnya (air laut) karena angin. Hal ini dibuktikan dengan terdengarnya suara ombak (energi gerak menjadi bunyi). Berbeda dengan gelombang laut, cahaya dapat mentransfer energi dari satu tempat ke tempat lainnya tanpa menggunakan medium. Gelombang cahaya terbentuk karena adanya perubahan medan magnet dan medan listrik secara periodik, sehingga merupakan gelombang elektromagnet.
Berdasarkan frekuensinya, gelombang elektromagnetik ada bermacam-macam. Berikut klasifikasi gelombang elektromagnetik yang dikenal dengan spektrum elektromagnetik.
Pembentukan Bayangan pada Cermin
Pada saat menentukan bayangan pada cermin datar melalui diagram sinar, titik bayangan adalah titik potong berkas sinar-sinar pantul. Bayangan bersifat nyata apabila titik potongnya diperoleh dari perpotongan sinar-sinar pantul yang konvergen (mengumpul). Sebaliknya, bayangan bersifat maya apabila titik potongnya merupakan hasil perpanjangan sinar-sinar pantul yang divergen (menyebar).
Keterangan:
s = Jarak benda terhadap cermin
s' = Jarak bayangan terhadap cermin
Bayangan pada cermin datar bersifat maya. Titik bayangan dihasilkan dari perpotongan sinar-sinar pantul yang digambarkan oleh garis putus-putus.
Pembentukan Bayangan pada Cermin Cekung
Lanjut ke topik berikutnya ...
Hukum pemantulan yang menyatakan besar sudut datang sama dengan sudut pantul, berlaku pula untuk cermin cekung. Pada cermin cekung, garis normal adalah garis yang menghubungkan titik pusat lengkung cermin M dengan titik jatuhnya sinar. Garis normal pada cermin lengkung berubah-ubah, bergantung pada titik jatuh sinar.
Bagaimana sifat-sifat bayangan yang terbentuk? Berdasarkan gambar tersebut bayangan yang terbentuk bersifat maya, tegak, dan diperbesar. Selain penggunaan diagram sinar dan tiga sinar istimewa, agar lebih mudah memahami letak benda dan letak bayangan, kamu dapat memahami pembagian nomor ruang pada cermin lengkung (Dalil Esbach). Pembagian nomor ruang pada cermin cekung, dapat dilihat pada Gambar di bawah ini !
Persamaan Cermin Cekung
Persamaan cermin cekung menyatakan hubungan kuantitatif antara jarak benda ke cermin (s), jarak bayangan ke cermin (s'), dan panjang fokus (f).
dengan :
f = Jarak fokus (cm)
s = Jarak benda ke cermin (cm)
s' = Jarak bayangan (layar) ke cermin (cm)
Selain persamaan tersebut kamu juga harus mengetahui perbesaran bayangan yang dihasilkan oleh cermin cekung. Rumus perbesaran pada cermin cekung adalah
Keterangan:
M = Perbesaran
s = Jarak benda ke cermin
h = Tinggi benda
s' = Jarak bayangan (layar) ke cermin
h' = Tinggi bayangan
Catatan:
h' positif (+) menyatakan bayangan adalah tegak (dan maya)
h' negatif (-) menyatakan bayangan adalah terbalik (dan nyata)
Pembentukan Bayangan pada Cermin Cembung
Pada cermin cembung juga berlaku hukum-hukum pemantulan,yaitu besarnya sudut datang sama dengan besarnya sudut pantul.
Persamaan Cermin Cembung
Masih ingatkah kamu dengan persamaan pada cermin cekung? Rumus-rumus yang berlaku untuk cermin cekung juga berlaku untuk cermin cembung.

Keterangan :
M = Perbesaran
s = Jarak benda ke cermin
h = Tinggi benda
s' = Jarak bayangan (layar) ke cermin
h' = Tinggi bayangan
Catatan:
h' positif (+) menyatakan bayangan adalah tegak (dan maya)
h' negatif (-) menyatakan bayangan adalah terbalik (dan nyata)
Namun, ada hal yang perlu diperhatikan yaitu titik fokus F dan titik pusat kelengkungan cermin M untuk cermin cembung terletak di belakang cermin. Oleh karena itu, dalam menggunakan persamaan cermin cembung jarak fokus (f) dan jari-jari cermin (R) selalu dimasukkan bertanda negatif. Dengan catatan bahwa dalam cermin cembung harga f dan R bernilai negative (-).
Pembentukan Bayangan pada Lensa
Sobat pintar, pernahkah kamu menggunakan lup? Lup memiliki bagian utama berupa lensa cembung yang berfungsi untuk memperbesar bayangan benda yang akan diteliti. Lensa adalah benda bening yang memiliki permukaan berbentuk cekung atau cembung dan berfungsi untuk membiaskan cahaya.
Lensa secara umum ada yang berbentuk cembung dan cekung. Jika dipegang, lensa cembung bagian tengahnya lebih tebal dari bagian pinggir. Lensa cekung bagian tengahnya lebih tipis dari bagian pinggirnya.
Persamaan pada Lensa
Lanjut ke topik selanjutnya ...
Persamaan pada lensa cembung sama dengan persamaan pada lensa cekung. Hubungan antara jarak fokus (f), jarak bayangan (s'), dan jarak benda (s) adalah sebagai berikut.
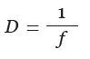
Pada lensa cembung, titik fokus bernilai positif (sama seperti pada cermin cekung), sedangkan pada lensa cekung, titik fokus bernilai negatif (sama seperti pada cermin cembung). Setiap lensa mempunyai kemampuan yang berbeda-beda dalam mengumpulkan atau menyebarkan sinar. Kemampuan lensa dalam mengumpulkan atau menyebarkan sinar disebut kuat lensa (D) dan memiliki satuan dioptri. Kuat lensa merupakan kebalikan dari panjang fokus. Secara matematis dapat dinyatakan sebagai berikut:
Indra Penglihatan Pada Manusia
Bagian-Bagian Mata Manusia
Sobat pintar, organ penglihatan yang dimiliki oleh manusia adalah mata. Organ ini berbentuk bulat. Organ ini tersusun atas beberapa bagian yang berbeda yang masing-masing bagian memiliki fungsi yang berbeda pula. Mata kita dibalut oleh tiga lapis jaringan yang berlainan. Lapisan luar adalah lapisan sklera, lapisan ini membentuk kornea. Lapisan tengah adalah lapisan koroid, lapisan ini membentuk iris. Lapisan ketiga adalah lapisan dalam, yaitu retina.
Kornea
Mata memiliki bentuk seperti bola dengan diameter ± 2,5 cm. Lapisan terluar mata disebut sklera yang membentuk putih mata, dan bersambung dengan bagian depan yang bening yang disebut kornea. Cahaya masuk ke mata melewati kornea. Lapisan kornea mata terluar bersifat kuat dan tembus cahaya. Kornea berfungsi melindungi bagian yang sensitif yang berada di belakangnya dan membantu memfokuskan bayangan pada retina.
Iris atau Selaput Pelangi
Setelah cahaya melewati kornea, selanjutnya cahaya akan menuju ke pupil. Pupil adalah bagian berwarna hitam yang merupakan jalan masuknya cahaya ke dalam mata. Pupil dikelilingi oleh iris, yang merupakan bagian berwarna pada mata yang terletak di belakang kornea.
Lensa Mata
Setelah melewati pupil, cahaya bergerak merambat menuju ke lensa. Lensa mata kamu berbentuk bikonvex (cembung depan-belakang), Seperti lensa pada kaca pembesar. Lensa mata bersifat fleksibel. Otot siliar yang ada dalam mata akan membantu mengubah kecembungan lensa mata kamu.
Retina
Cahaya yang melewati lensa selanjutnya akan membentuk bayangan yang kemudian ditangkap oleh retina. Retina merupakan sel yang sensitif terhadap cahaya matahari atau saraf penerima rangsang sinar (fotoreseptor) yang terletak pada bagian belakang mata. Retina terdiri atas dua macam sel fotoreseptor, yaitu sel batang dan sel kerucut. Sel kerucut memungkinkan kamu melihat warna, tetapi membutuhkan cahaya yang lebih terang dibandingkan sel batang. Sel batang akan menunjukkan responsnya ketika berada pada tempat yang redup.
Gangguan Pada Indra Penglihatan Manusia
Rabun Dekat (Hipermetropi)
Sobat pintar, apa saja gangguan pada indra penglihatan?
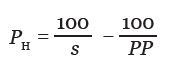
Seorang penderita rabun dekat tidak dapat melihat benda yang berada pada jarak dekat (± 30 cm) dengan jelas. Hal ini karena bayangan yang terbentuk jatuh di belakang retina, sehingga bayangan yang jatuh pada retina menjadi tidak jelas (kabur). Kacamata positif dapat menolong penderita rabun dekat, sebab lensa cembung mengumpulkan cahaya sebelum cahaya masuk ke mata. Dengan demikian, kornea dan lensa dapat membentuk bayangan yang jelas pada retina.
Kekuatan lensa kacamata yang diperlukan sesuai dengan rumus berikut:
Keterangan:
PH = Kekuatan lensa kacamata untuk hipermetropi (dioptric atau D)
s = Jarak benda di depan kacamata (cm)
PP (Punctum Proximum) = titik dekat mata seseorang (cm)
Rabun Jauh (Miopi)
Lanjut ke topik berikutnya ...
Seorang penderita rabun jauh tidak dapat melihat benda yang berada pada jarak jauh (tak hingga) dengan jelas. Hal ini dikarenakan bayangan yang terbentuk jatuh di depan retina, seperti yang ditunjukkan Gambar di bawah ini. Kacamata negatif dapat menolong penderita rabun jauh karena lensa cekung akan dapat membuat cahaya menyebar sebelum cahaya masuk ke mata. Dengan demikian, bayangan yang jelas akan terbentuk di retina.
Kekuatan atau daya lensa kacamata yang diperlukan sesuai dengan rumus berikut:
Keterangan:
PM = Daya lensa untuk miopi (dioptri atau D)
PR (Punctum Remotum) = titik jauh mata (cm)
Buta Warna
Perhatikan Gambar di bawah ini! Apakah kamu dapat melihat angka? Coba sebutkan angka berapa yang dapat kamu lihat! Masih ingatkah kamu pada sel kerucut? Kamu memiliki lebih kurang tujuh juta sel kerucut pada retina. Gelombang cahaya dipantulkan dari benda masuk ke pupil dan ditangkap oleh retina. Respons dari sel kerucut pada cahaya dengan panjang gelombang yang berbeda menyebabkan kamu dapat melihat benda yang berwarna.
Buta warna merupakan suatu kelainan pada mata yang disebabkan ketidakmampuan sel-sel kerucut mata untuk menangkap suatu warna tertentu. Penyakit ini bersifat menurun. Buta warna ada yang buta warna total dan buta warna sebagian. Buta warna total hanya mampu melihat warna hitam dan putih saja, sedangkan buta warna sebagian tidak dapat melihat warna tertentu, yaitu merah, hijau, atau biru.
Alat Optik Dalam Kehidupan Sehari-hari
Kamera
Apakah kamu pernah mengambil gambar teman atau orang-orang terdekatmu dengan menggunakan kamera? Pernahkah kamu berpikir tentang bagaimana proses pembentukan bayangan pada kamera?
Pada saat kamu mengambil gambar suatu benda dengan sebuah kamera, cahaya dipantulkan dari benda tersebut dan masuk ke lensa kamera. Kamera memiliki diafragma dan pengatur cahaya (shutter) untuk mengatur jumlah cahaya yang masuk ke dalam lensa. Dengan jumlah cahaya yang tepat akan diperoleh foto atau gambar yang jelas. Sementara itu, untuk memperoleh foto yang tajam dan tidak kabur perlu mengatur fokus lensa. Bayangannya nyata, terbalik, dan lebih kecil dari benda aslinya.
Kaca Pembesar (Lup)
Sobat pintar, pernahkah kamu melihat film yang mengisahkan tentang detektif? Ketika detektif tersebut mengungkap suatu kasus maka mereka ada yang membawa suatu benda di tangannya. Apakah benda itu? Apa fungsi benda tersebut? Perhatikan Gambar berikut agar kamu dapat menjawab pertanyaan di atas. Sebuah kaca pembesar memungkinkan kita untuk menempatkan objek lebih dekat ke mata kita sehingga objek tampak terlihat sudut lebih besar.
Mikroskop
Jika kamu akan melihat sel, jaringan pada penampang melintang batang tumbuhan, organisme mikroskopis seperti bakteri, alat apa yang akan kamu gunakan? Kamu pasti akan menggunakan mikroskop bukan? Tahukah kamu bagaimana prinsip kerja mikroskop? Mikroskop memiliki dua lensa utama, yaitu lensa okuler dan lensa objektif. Lensa okuler adalah lensa yang posisinya dekat dengan mata pengamat. Lensa objektif adalah lensa yang posisinya dekat dengan objek/benda yang sedang diamati.

0 comments:
Posting Komentar